Hochschulpolitik
Die Hochschulpolitik ist ein sehr unübersichtliches System und kann vorallem am Anfang sehr zu Verwirrung sorgen. Aus diesem Grund soll auf dieser Seite ein Überblick gegeben werden. Es gibt viele verschiedene Gremien, die für unterschiedliche Aufgabe zuständig sind und in vielen der Gremien sitzen Vertretende der Fachschaft um der Meinung der Studierenden Gehör zu verschaffen.
Rektorat
Das Rektorat leitet die Universität Stuttgart. Weitere Inforamtionen findest du auf der Seite des Rektorats.
Der Senat und der Universitätsrat
Senat
Der Senat ist das zentrale Gremium an der Uni Stuttgart. Im Senat sitzen gewählte Vertreter aus allen Bereiche der Universität. Das bedeutet im Senat sitzen Vertreter der Professor:innen, Studierenden, wissenschaftliche Mitarbeitenden, Doktorand:innen und Beschäftigten aus Technik und Verwaltung. Der Senat wird jedes Jahr neu gewählt.
Aufgaben des Senats
Einrichtung, Änderung und Aufhebung von Studiengängen und Hochschuleinrichtungen
Entscheidungen in grundsätzlicher Forschungsfragen
Förderung des wissenschaftlichen Nachwuchs
Technologietransfer
Wahl der Rektoratsmitglieder in Zusammenarbeit mit dem Universitätsrat
Viele Entscheidungen des Senates werden in Ausschüssen vorbereitet oder von den Fakultäten als Beschlussvorlage an den Senat weitergeleitet. Beispielweise gibt es die Senatsausschüsse für Lehre, Struktur, Forschung und für die verschiedenen zentralen Einrichtungen der Universität (z.B. Unibibliothek). Auch in den Senatsausschüssen sitzt jeweils mindestens ein Studi. Die Senatsausschüsse werden vom Senat gewählt, während die Mitglieder des Senats gruppenweise (d.h. Studis wählen Studis, Profs wählen Profs usw.) von allen Unimitgliedern gewählt werden.
Alle sechs Jahre wählt der Senat den Rektor und alle drei Jahre die drei Prorektoren für Forschung, Struktur und Lehre. Diese bilden zusammen mit dem Kanzler das Rektorat. Sie vertreten die Uni nach außen, führen die laufenden Geschäfte, und verteilen die Stellen, Mittel und Räume. Der Rektor gibt dem Senat einmal jährlich einen Rechenschaftsbericht ab.
Universitätsrat
Der Universitätsrat lässt sich am besten mit einem Aufsichtrat eines Aktienunternehmen vergleichen. Er überwacht die Arbeit des Rektorats. In diesem sitzen nicht nur Hochschulmitglieder (4 Professoren, 1 Studi, 1 wissenschaftlicher Dienst, 1 Technik und Verwaltung), sondern auch 6 Externe. Für die Universitäten ist es zur Prestigeangelegenheit geworden, möglichst bekannte Persönlichkeiten aus Wirtschaft und Wissenschaft für dieses Gremium zu gewinnen.
Aufgaben des Universitätsrats
Beschlussfassung über Struktur- und Entwicklungspläne und den Wirschaftsplan
Zustimmung zu Hochschulverträgen und hochschulübergreifenden Kooperationen
Wahl der Rektoratsmitglieder in Zusammenarbeit mit dem Senat
Diagramm Uni Struktur

Weitere Inforamtionen zu den Mitgliedern und Aufgaben des Senats und des Universitätrats findest du auf der Seite von Senat und Universitätrat.
Fakultät 5
Die Universität gliedert sich in einzelne Fachbereiche, die sog. Fakultäten. Jede der 10 Fakultäten ist für die Studiengänge verantwortlich, die in ihre fachliche Zuständigkeit fallen. Die Fakultät muß ein ordnungsgemäßes Lehrangebot und die Durchführung von den in ihren Fachbereich fallenden Studiengängen sicherstellen. Dazu kann sie Richtlinien (z.B. Prüfungsordnung) erstellen und Zuweisung von Stellen und Haushaltsmitteln beantragen. Die Fakultät schlägt auch vor, welche Professorinnen berufen werden sollen. Jede Professor:in bekommt einen Lehrstuhl (bei der Besoldungsstufe C3 nennt man das Ganze dann Abteilung), der definiert, welches Fach sie in Forschung und Lehre vertritt. Sind Lehrstühle bzgl. ihres Fachgebietes nah verwandt, so können sie zu einem Institut zusammengefaßt werden. Ein Professor:in steht diesem dann als Leiter:in vor. Bei den Ingenieursfakultäten besteht ein Institut in der Regel aus nur einem C4-Prof und einigen wissenschaftlichen Mitarbeitenden
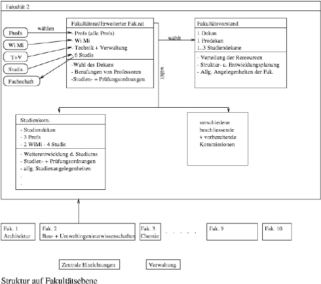
Großer Fakultätsrat (GFR)
Der Große Fakultätsrat kann mit dem Senat verglichen werden. Er trifft alle Entscheidungen, die die jeweilige Fakultät betrifft. Er setzt sich zusammen aus dem Fakultätsvorstand, 6 ProfessorInnen, 3 wissenschaftliche Mitarbeitenden, 3 Sonstigen Mitarbeiterenden und 6 Studierenden.
Weitere Infomartionen zu dem GFR findest du auf der Website des großen Fakultätsrat
Studienkommission (StuKo)
Die Studienkommission hat die Aufgabe für das funktionieren der Lehre des jeweiligen Studiengangs zu sorgen. Darüberhinaus soll die Studienkommission die Lehre verbessern und evaluieren. Die Studienkommission besteht aus dem Studiendekan des jeweiligen Studiengangs und höchsten zehn weiteren Mitgliedern. Davon müssen vier Studierende sein. Auch die Lösung von Problemen in der Lehre gehört zu ihren Aufgaben.
Weitere Informationen zu der Studienkommission findest du auf der Website der Fakultät 5
Diagramm Fakultäts Struktur

Studierendenvertretung Universität Stuttgart (stuvus)
Studierendenparlament (StuPa)
Das Studierendenparlament (StuPa) ist das legislative Organ der Studierendenschaft. Es trifft die Entscheidungen, die stuvus betreffen und kontrolliert den Vorstand von stuvus. Es besteht nur aus gewählten Vertreter der Studierendenschaft.
Weitere Informationen findest du auf der Website des Studierendenparlaments.